壹生大学

壹生身份认证协议书

本项目是由壹生提供的专业性学术分享,仅面向医疗卫生专业人士。我们将收集您是否是医疗卫生专业人士的信息,仅用于资格认证,不会用于其他用途。壹生作为平台及平台数据的运营者和负责方,负责平台和本专区及用户相关信息搜集和使用的合规和保护。
本协议书仅为了向您说明个人相关信息处理目的,向您单独征求的同意,您已签署的壹生平台《壹生用户服务协议》和《壹生隐私政策》,详见链接:
壹生用户服务协议:
https://apps.medtrib.cn/html/serviceAgreement.html
壹生隐私政策:
https://apps.medtrib.cn/html/p.html
如果您是医疗卫生专业人士,且点击了“同意”,表明您作为壹生的注册用户已授权壹生平台收集您是否是医疗卫生专业人士的信息,可以使用本项服务。
如果您不是医疗卫生专业人士或不同意本说明,请勿点击“同意”,因为本项服务仅面向医疗卫生人士,以及专业性、合规性要求等因素,您将无法使用本项服务。

同意

拒绝

同意

拒绝

知情同意书

同意

不同意并跳过

工作人员正在审核中,
请您耐心等待
审核未通过
重新提交
完善信息
{{ item.question }}
确定
收集问题
{{ item.question }}
确定
您已通过HCP身份认证和信息审核
(
5
s)

骨舞健言丨曹永平教授:2024 WCO-IOF-ESCEO骨质疏松症前沿进展解读

2024-05-27作者:王晨资讯

图片


2024年4月11-14日,第24届骨质疏松症、骨关节炎和骨骼肌肉疾病世界大会( 2024 WCO-IOF-ESCEO)在英国伦敦盛大举行。大会内容涵盖骨科、内分泌、风湿免疫等多学科,聚焦于骨代谢疾病等领域诊疗策略革新。全球知名专家学者齐聚一堂,分享领域内前沿新知,探讨研究进展,共襄学术盛举。

值此契机,本期“骨舞健言”特邀北京大学第一医院曹永平教授就本次大会中的骨质疏松症热点话题进行分享及精彩点评,现将内容整理如下。




图片


曹永平 教授

北京大学第一医院

北京大学第一医院骨科主任

主任医师、二级教授、博士生导师

中国老年学和老年医学学会常务理事

中国老年学和老年医学学会老年骨科分会主任委员

国际矫形与创伤外科学会(SICOT)华裔关节分会委员

中华医学会骨质疏松与骨矿盐疾病学分会往届委员

北京医学会骨质疏松和骨矿盐疾病分会常务委员

中华医学会和中国医师协会以及北京医学会等骨科领域委员会委员、常委

主持过4个国家级和14个省部级基金的课题

在国内外发表论文90余篇

授权专利8项

主编和参编骨科专著14部

荣获2022年教育部自然科学奖二等奖

临床专攻:骨关节疾患的诊断和治疗,特别是股骨头坏死的分期治疗,膝关节骨关节病的阶梯治疗。在髋、膝、肘、踝等关节的初次置换与翻修翻修,以及关节镜下微创修复关节软骨损伤和韧带重建等积累了丰富的临床经验。

主要研究领域:骨关节炎的发病机理、骨软骨代谢与组织工程、人工假体自身抗菌,以及关节围手术期智能设备的研发。






图片




WCO-IOF-ESCEO是世界领先的骨骼、关节和肌肉健康临床会议,并已成为欧洲最活跃的骨质疏松症、骨关节炎和骨骼肌肉疾病临床研究论坛。2024 WCO-IOF-ESCEO已于近期成功举行,请您简要介绍下该会议情况,您如何看待其在相关疾病领域持续发展中所起到的作用?


曹永平教授:2024 WCO-IOF-ESCEO近期在英国伦敦成功举办。此次大会由国际骨质疏松基金会(IOF)与欧洲骨质疏松及骨关节炎临床经济学会(ESCEO)联合主办,吸引了全球上百位来自骨科、内分泌、风湿免疫等领域的专家学者,今年共9755名注册听众参与该盛会。大会聚焦骨质疏松症、骨关节炎、肌少症等多个热点议题,共有1400余份摘要被收录。

在全体会议(Plenary Lectures)环节,主题报告涵盖了骨折预防的最新进展、骨质疏松症管理的优化策略、维生素D相关大型试验的解读、慢性肾脏疾病中矿物质与骨异常的新见解、肌少症定义及管理、骨关节炎管理、骨折风险精准评估等话题,提供了未来研究的思考方向。专家面对面(Meet-The-Experts)环节则围绕14个新颖的临床话题展开,为与会者提供了与顶尖专家直接交流的宝贵机会。此外,大会还设有与ESCEO-国际骨关节研究会(OARSI)、世界卫生组织(WHO)、ESCEO-德国骨科和创伤学会(DVO)等多个学会的联合研讨会,旨在推动科学发展,传播最新研究成果,指导优化临床策略的制定。

总之,WCO-IOF-ESCEO大会在骨质疏松症、骨关节炎和肌肉骨骼疾病领域的持续发展中发挥着至关重要的作用,不仅为专业人士提供了一个交流和学习的平台,也推动了相关疾病的研究和临床实践的进步。




图片




在2024 WCO-IOF-ESCEO上,关于骨质疏松症的研究有哪些新突破引起了您的关注?您能否分享一些可能对未来治疗策略产生重大影响的研究发现?


曹永平教授:本次大会聚焦骨质疏松症领域,对抗骨质疏松症药物发展、维生素D相关研究进展及骨质疏松症疾病管理等多个方面的前沿进展进行分享与讨论,内容丰富、详实有据,极大推动了骨质疏松症领域学科发展。










首先,在抗骨质疏松症药物研究进展领域:

大会分享研究显示,与口服双膦酸盐(BP)相比,地舒单抗可降低绝经后妇女骨折风险,且治疗时间越长,骨折风险降低越明显。在联合治疗方面,罗莫珠单抗与地舒单抗联合治疗可增加Ⅰ型原胶原氨基端前肽(P1NP)和腰椎骨密度。在骨形成标志物和脊柱骨密度方面,与地舒单抗单药治疗相比,联合罗莫珠单抗治疗可能可为患者带来更多获益。由此可见,联合治疗策略为骨质疏松症患者增添更多治疗选择。

其次,在复杂的健康需求的老年人中,在超过1年的持续BP治疗后停止BP会增加骨折风险,这提示抗骨质疏松症治疗足疗程的重要性,并应综合患者病情考量停药的风险-获益比。


抗骨质疏松症药物心血管安全性研究也有诸多进展:

相关研究提示,抗骨质疏松症药物可能与心血管事件风险增加相关。BP治疗心血管安全性的证据尚存在分歧;地舒单抗的心血管风险证据存在相互矛盾,部分研究表明主要不良心血管事件(MACE)风险增加,而另一些研究则报告中性影响;罗莫珠单抗可能增加心肌梗死和中风的风险;PTH类似物心血管风险为中性。抗骨质疏松症药物的心血管安全性需要更多临床研究加以验证。在临床实践中,临床医生应熟知药物不良反应谱,严密观察患者病情变化,及时发现、识别不良事件,并给予正确处理,才能为患者带来最大化获益。


除此之外,在骨质疏松症患者疾病管理方面:

由护理主导的骨科治疗相较于常规护理可降低心力衰竭、肺炎等并发症的发生率,改善患者生活质量与预后。而基于系统人群筛查项目的骨折风险10年随访提示,在高骨折风险的患者中,DXA扫描及临床干预可降低主要骨质疏松性骨折风险。风险分层骨质疏松策略评估(ROSE)可提前抗骨质疏松症治疗时间,且不影响患者依从性。


最后,在维生素D相关研究方面:

大会概括性地回顾了维生素D与预防跌倒骨折关系的相关研究,强调维生素D和钙剂的补充策略应依据当地摄入水平进行制定。在评估维生素D缺乏方面,大会分享研究结果提示,维生素D代谢比率(VMR)是评估功能性维生素D缺乏的最佳方法。几项基础研究提示,艾地骨化醇可以抑制小鼠骨质流失、增加骨量,并保护肌肉组织免受与衰老相关的纤维化影响。

整体而言,大会中骨质疏松症治疗领域研究进展分享值得关注,有助于优化疾病管理,推动诊疗向个体化方向发展,对临床具有一定启发性。以下为相关研究进展的整理呈现,供广大临床同道一同学习、进步:

抗骨质疏松症药物研究进展

图片

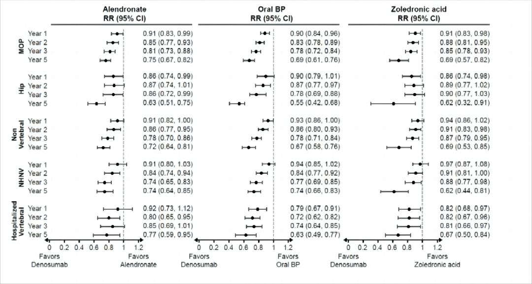
OC1:比较地舒单抗与BP治疗绝经后女性骨质疏松症的疗效

本回顾性观察研究比较了地舒单抗与BP治疗在减少绝经后骨质疏松症(PMO)女性的骨折风险方面的疗效。纳入对象为年龄≥66岁女性,有既往口服BP治疗史,近期使用地舒单抗治疗(n~108,000)。研究结果显示,截至5年随访期间,与口服BP、阿仑膦酸钠(Aln)和唑来膦酸(ZA)相比,地舒单抗降低髋部骨折风险45%(RR=0.55;95% CI:0.42-0.68)、37%(0.63;0.51-0.75)、和38%(0.62;0.32-0.91),并降低了主要骨质疏松性(MOP)骨折风险31%(0.69;0.61-0.76)、25%(0.75;0.67-0.82)和31%(0.69;0.57-0.82)(图1)。在非椎体(NV)、非髋部非椎体(NHNV)和住院椎体(HV)骨折中也观察到相似结论。且与口服BP、Aln和ZA相比,地舒单抗的治疗时间越长,骨折风险的降低越明显。

图片

图1



OC2:接受罗莫珠单抗、地舒单抗和ALN治疗的患者腰椎和全髋关节骨密度反应:一项FRAME和ARCH III期研究的事后分析

本研究以FRAME及ARCH试验数据为基础,评估绝经后骨质疏松症女性在接受罗莫珠单抗、地舒单抗或ALN治疗1年,全髋关节(TH)和腰椎(LS)骨密度均有临床意义改善的比例,及每次治疗后LS和TH骨密度的总体变化之间的相关性。研究结果显示,与ALN或地舒单抗相比,接受罗莫珠单抗治疗的患者中有更高比例的患者,在1年内实现了LS和TH两个部位骨密度改善(较基线改善>3%或>6%),且总体改善百分比间相关性更强(图2、3)。

图片

图2

图片

图3

P504:罗莫珠单抗和地舒单抗联合治疗绝经后骨质疏松症

本研究探索了罗莫珠单抗和地舒单抗联合治疗绝经后骨质疏松症的有效性。研究前瞻性探索了52例患者分别接受罗莫珠单抗单药治疗(19例)、与长期地舒单抗(>2年)联合治疗(11例)及长期地舒单抗(>2年)治疗(22例)的获益。研究结果显示,罗莫珠单抗与地舒单抗联合治疗可增加P1NP和腰椎骨密度(图4)。在骨形成标志物和脊柱骨密度方面,与地舒单抗单药治疗相比,联合罗莫珠单抗治疗可能可为患者带来更多获益(图5)。

图片

图4

图片

图5

OC28:有复杂健康需求的老年患者停用BP:评估骨折风险的自身对照病例

本研究旨在评估停止使用口服BP治疗对老年患者停药后骨折风险的影响。研究共纳入171048例有复杂健康需求的患者,其中6245例患者在研究期间接受BP治疗。我们在9796人-年治疗期间观察到1262例骨折(事件率128.8/1000人年[95%Cl 121.7 ~ 136.0]),在停药后6428人-年随访期间分别观察到942例骨折(事件率146.6/1000人年[95%Cl 137.2 ~ 156.1])。对于持续BP治疗超过1年的患者,模型显示停止治疗后骨折风险增加(发生率比IRR=1.26[1.0 ~ 1.58])。由此可见,在复杂的健康需求的老年人中,在超过1年的持续BP治疗后停止BP治疗会增加骨折风险,BP停药的风险-获益比需要进一步研究证明。

抗骨松药物心血管安全性

图片

OC3:罗莫珠单抗在骨质疏松症患者中的心血管安全性:一项基于TriNetX数据库的分析

本研究旨在确定罗莫珠单抗对急性冠脉综合征(ACS)风险的影响,确保治疗获益和潜在心血管风险平衡。研究结果显示,慢性肾病(CKD)和原发性高血压是接受罗莫珠单抗治疗的患者发生ACS的重要危险因素。CKD患者ACS风险增加两倍(OR:2.04;95%CI:1.24–3.37,p=0.005),而原发性高血压患者的ACS风险增加约82%(OR:1.82;95%CI:1.14–2.90,p=0.011)。此外,一项亚组分析对三年内接受少于12剂量的患者与接受13-24剂罗莫珠单抗患者进行比较,结果显示ACS风险无显著差异(RR:0.8;95%CI:0.47–1.36),表明该范围内的剂量不会显著改变ACS发生的可能性。长期对照研究对安全性及风险-获益平衡评估至关重要。

NSS87:抗骨质疏松症治疗与心血管事件

抗骨吸收治疗:BP相关研究提示了房颤风险的增加。关于BP的心血管安全性的总体证据有待进一步验证。此外,唑来膦酸与较低的死亡率相关,但缺乏明确解释。地舒单抗的心血管风险证据存在相互矛盾。部分研究表明主要不良心血管事件(MACE)风险增加,而另一些研究则报告中性影响。尽管心血管不良反应少见,但还需要进一步的研究。

骨合成代谢治疗:相关研究表明,罗莫珠单抗可能增加心肌梗死和中风风险。其基础研究中、临床研究中、人群研究和基因研究的证据存在异质性。相关不良反应较为罕见,需要IV期研究等进一步证实。特立帕肽和阿巴帕肽未显示出心血管风险增加的证据。部分证据甚至表明了其对心脏具有保护作用。

结论:抗骨质疏松症药物的心血管安全性是一个复杂的问题。BP心血管安全性的证据是不一致的;地舒单抗可能增加MACE的风险或中性;罗莫珠单抗可能增加心肌梗死和中风的风险;PTH类似物心血管风险为中性。Odanacatib的停用和罗莫珠单抗试验结果表明,骨质疏松症机制和心血管风险之间存在共同的联系。需要更多IV期研究确定抗骨质疏松症药物的心血管安全性。

骨质疏松症疾病管理

图片

OCs7-P1181:老年骨质疏松性骨折患者的骨科联合治疗:一项观察性研究

该研究评估了由护理主导的骨质疏松性骨折(MOF)患者骨科联合治疗的疗效。研究纳入108例75岁以上因MOF骨折住院患者,分为常规护理组及护理主导的骨科治疗干预组。结果显示,与常规护理组相比,干预组住院并发症的几率降低了51%(OR=0.49, 95%CI: 0.26-0.92,p=0.027),谵妄发生率降低了13%(34% vs 21%,p=0.003)。此外,心力衰竭和肺炎的发生率分别降低了3%(p=0.269)和5%(p=0.119),而深静脉血栓形成、肺栓塞、心肌梗死、尿路感染和住院死亡的发生率没有差异。

OC9:基于系统人群筛查项目中的骨折风险10年随访:风险分层骨质疏松策略评估(ROSE)随机研究

本研究对居住在丹麦南部地区的65-80岁女性进行了随机对照试验,使用骨折风险评估工具(FRAX)选择筛查组中FRAX值≥15%的女性进行DXA扫描,并根据扫描结果给予标准抗骨质疏松症治疗。在研究随访期间,共观察到7,355例主要骨质疏松性骨折(MOF)。筛查组的17,072名女性和对照组的17,157名女性之间,MOF发病率未显示出差异(IRR 1.01, 0.95;1.06)。然而在高风险女性(FRAX值≥15%)患者中,DXA扫描及临床干预对可降低风险,MOF发病率降低16%(IRR 0.84, 0.76;0.92)(图6)。

图片

图6

OP18-P280:风险分层骨质疏松策略评估(ROSE)筛查方案中抗骨质疏松症药物(AOM)治疗依从性的评估:一项10年随访研究

本研究探索了ROSE筛查项目对AOM治疗长期依从性的影响。研究将患者随机分为筛查组与对照组,筛查组10年骨折风险(FRAXTM)≥15%的女性行DXA扫描,如提示骨质疏松症则接受标准AOM治疗。在15505例符合分析条件的女性患者中,971例患者一年内启动AOM治疗,筛查组启动AOM治疗比例显著升高(HR 5.14, 95% CI: 4.29-6.16),两组治疗持续性相当,50%的患者持续治疗≥5年,75%的患者持续治疗≥2 年。该研究表明,ROSE筛查提前AOM初始治疗时间,并且与未接受筛查患者的依从性相似。

维生素D及活性维生素D类似物研究进展

PL3:解析维生素D大型试验之谜

既往维生素D研究显示,补充维生素D对预防跌倒和骨折的效果有限。该演讲对相关研究内容及相关性进行了讨论。早期的Chapuy试验曾发现维生素D和钙联合补充能显著降低养老院居民的骨折风险,但后续研究在维生素D普及补充的背景下未能复制这一效果。营养素摄入与健康功能的关系是非线性的,存在最佳摄入范围。维生素D的最佳25(OH)D水平尚未明确界定,一般认为下限在20 ng/ml,上限可能为40-60 ng/ml。这一认识对于制定补充剂剂量和食品强化计划至关重要。全球各地区在考虑补充维生素D和钙时,需根据当地的25(OH)D水平和钙摄入量来定制策略。

OC24:维生素D代谢比率(VMR)提供评估功能性维生素D缺乏的最佳方法:SARCOPHAGEST研究

近期,维生素D代谢比率[VMR=(24.25(OH)2VTD / 25(OH)VTD) *100]被认为是比25-羟基维生素D(25(OH)VTD)更好的维生素D缺乏指标。SARCOPHAGEST研究对以上指标进行评估,结果显示,25(OH)VTD、24.25(OH)2VTD及VMR均与PTH独立相关,其中VMR相关性最好(rho: -0.292; P<0.0001)。由此可见,VMR是评估维生素D功能性缺乏的最佳指标。

OC25:肾移植后骨化三醇补充:一项双盲、安慰剂对照的随机研究

维生素D缺乏症在肾移植后十分常见,并导致骨质流失。研究纳入肾移植患者并以1:1比例分配至安慰剂组(n=29)及骨化三醇0.5μg治疗组(n=32),研究结果表明,两组间PTH、骨源性碱性磷酸酶、CTX及骨密度等指标均未见显著差异;高钙血症在骨化三醇组中发生率为39%,在安慰剂组中发生率为3%(p<0.001)。由此可见,与安慰剂相比,肾移植患者接受骨化三醇治疗不能改善骨骼健康,且有可能导致高钙血症。

P1395:艾地骨化醇通过作用于 BMSCs,抑制骨质流失并增加骨量

艾地骨化醇(ELD)是一种活性维生素 D 类似物,用于治疗绝经后女性骨质疏松症,为探索其作用机制,研究了 ELD 对维生素 D 受体(VDR)条件性基因敲除小鼠(VDR-cKO)的骨量和 BMSCs 成骨分化的影响。结果表明,ELD 通过作用于 BMSCs 的 VDR,抑制骨转换并增加骨量。ELD 通过促进 BMSCs 中 RANK 的表达抑制成骨分化和 RANKL 的表达。

P1380:艾地骨化醇保护小鼠肌肉组织免受与衰老相关的纤维化影响

本研究旨在探讨艾地骨化醇对衰老相关肌肉纤维化的保护作用及其潜在机制。将C57BL/6雄性小鼠分为三组:正常对照组、D-gal衰老模型组、D-gal衰老模型+艾地骨化醇治疗组,治疗8周。结果表明,艾地骨化醇提高了胫骨前肌和腓肠肌的肌肉指数,增强了握和负重游泳时间。艾地骨化醇通过抑制Ang II/ TGFβ/β-catenin 通路,缓解肌肉萎缩和纤维化,从而对D-gal诱导衰老小鼠的骨骼肌功能和力量产生有益影响。




参考文献:

1.2024 WCO-IOF-ESCEO-AbstractBook.OC1

2.2024 WCO-IOF-ESCEO-AbstractBook.OC2

3.2024 WCO-IOF-ESCEO-AbstractBook.P504

4.2024 WCO-IOF-ESCEO-AbstractBook.OC28

5.2024 WCO-IOF-ESCEO-AbstractBook.OC3

6.2024 WCO-IOF-ESCEO-AbstractBook.NSS87

7.2024 WCO-IOF-ESCEO-AbstractBook.OCs7-P1181

8.2024 WCO-IOF-ESCEO-AbstractBook.OC9

9.2024 WCO-IOF-ESCEO-AbstractBook.OP18-P280

10.2024 WCO-IOF-ESCEO-AbstractBook.PL3

11.2024 WCO-IOF-ESCEO-AbstractBook.OC24

12.2024 WCO-IOF-ESCEO-AbstractBook.OC25

13.2024 WCO-IOF-ESCEO-AbstractBook.P1395

14. 2024 WCO-IOF-ESCEO-AbstractBook.P1380


仅供医疗卫生等专业人士阅读

审核编号:EDR-NP-20240522-001

200 评论

查看更多