查看更多
密码过期或已经不安全,请修改密码
修改密码
壹生身份认证协议书
同意
拒绝
同意
拒绝
同意
不同意并跳过

《卒中与血管神经病学》(Stroke & Vascular Neurology,SVN)杂志最新上线文章“CO2 combining power and outcomes in patients with acute ischaemic stroke or transient ischaemic attack”,由首都医科大学附属北京天坛医院、国家神经系统疾病临床医学研究中心王安心执笔(第一作者)、王拥军(通讯作者)教授团队共同参与完成。
二氧化碳结合力(CO2CP)是反映血液中碱储备量的一项指标,可帮助诊断是否存在酸碱失衡及失衡的程度。但CO2CP对缺血性脑血管病的临床意义尚不明确,且其对急性缺血性卒中(AIS)或短暂性脑缺血发作(TIA)预后的影响尚未有报道。本研究旨在探究CO2CP与AIS或TIA患者临床预后的关系。
数据资料来源于第三次中国国家卒中登记(CNSR-Ⅲ),根据CO2CP水平的五分位数将患者分为5组,在进一步的分析中根据CO2CP的正常范围(23~29 mmol/L)将患者分为3组。研究结局为3个月及1年的全因死亡及不良预后[定义为改良Rankin评分(mRS)3~6分及2~6分]。采用多因素Cox回归和Logistic回归分析CO2CP水平与全因死亡和不良预后的关系。
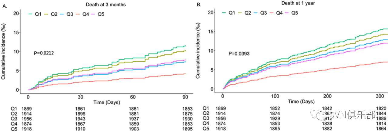
本研究共纳入9531例研究对象,CO2CP中位浓度(四分位间距)为24.9(23.0~27.0)mmol/L。在3个月随访时,与CO2CP的Q4组相比,最低五分位数(21.1~23.3 mmol/L)组的患者发生全因死亡(HR,2.37; 95% CI, 1.32-4.25)和不良预后[mRS评分3~6(OR, 1.49; 95% CI, 1.20~1.83)/ 2~6 (OR,1.21; 95%CI, 1.03~1.42)]的风险显著增加。
限制性立方样条曲线显示CO2CP与全因死亡及不良预后呈现出L-型关系。随访1年后的结果与3个月相似。此外,当CO2CP按照临床界值分为3组时,与CO2CP浓度为23~29 mmol/L相比,CO2CP<23 mmol/L的患者同样有较高的全因死亡及不良预后风险(图1~3)。


图1. CO2CP五分位值全因死亡率的Kaplan-Meier曲线

图2 3个月和1年CO2CP水平与全因死亡风险和功能不良预后的相关性

图3 3个月和1年三种CO2CP水平与全因死亡和功能不良预后风险的关系
该研究表明,在AIS或TIA患者中,低浓度CO2CP与全因死亡和不良预后的发生风险相关。这一发现强调了在临床实践中CO2CP对AIS及TIA预后的重要性。

作者: 王安心
来源:SVN俱乐部
转载已获授权,其他账号转载请联系原账号
查看更多