壹生大学

壹生身份认证协议书

本项目是由壹生提供的专业性学术分享,仅面向医疗卫生专业人士。我们将收集您是否是医疗卫生专业人士的信息,仅用于资格认证,不会用于其他用途。壹生作为平台及平台数据的运营者和负责方,负责平台和本专区及用户相关信息搜集和使用的合规和保护。
本协议书仅为了向您说明个人相关信息处理目的,向您单独征求的同意,您已签署的壹生平台《壹生用户服务协议》和《壹生隐私政策》,详见链接:
壹生用户服务协议:
https://apps.medtrib.cn/html/serviceAgreement.html
壹生隐私政策:
https://apps.medtrib.cn/html/p.html
如果您是医疗卫生专业人士,且点击了“同意”,表明您作为壹生的注册用户已授权壹生平台收集您是否是医疗卫生专业人士的信息,可以使用本项服务。
如果您不是医疗卫生专业人士或不同意本说明,请勿点击“同意”,因为本项服务仅面向医疗卫生人士,以及专业性、合规性要求等因素,您将无法使用本项服务。

同意

拒绝

同意

拒绝

知情同意书

同意

不同意并跳过

工作人员正在审核中,
请您耐心等待
审核未通过
重新提交
完善信息
{{ item.question }}
确定
收集问题
{{ item.question }}
确定
您已通过HCP身份认证和信息审核
(
5
s)

高血压合并外周动脉疾病患者的心血管结局事件:VALUE试验

2024-05-16作者:壹生心血管学院资讯
非原创

华中科技大学同济医学院附属协和医院心内科、武汉医学会心血管病学分会临床研究学组分享


外周动脉疾病(PAD)和高血压是影响心血管功能紊乱的主要疾患,越来越多的研究表明收缩压(SBP)是心血管事件的主要预测因子,然而PAD患者却很少被纳入关于高血压的各项临床研究。VALUE试验调查了长期使用缬沙坦氨氯地平药物对心血管高危风险的高血压患者的心血管结局事件,Vrsalovic M团队通过对该试验进行亚组分析,表明更严格的血压控制可降低高血压合并PAD患者的心血管发病率和死亡率。


研究简介:

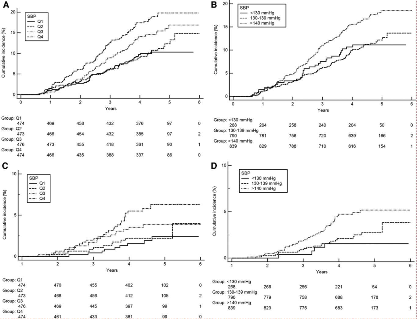
VALUE试验是一个多中心、双盲的随机试验,主要比较缬沙坦氨氯地平抗高血压治疗对年龄≥50岁、心血管高危风险的高血压患者心血管发病率和死亡率的长期影响,既往接受/未接受抗高血压治疗的患者均被包含在内,目标血压为140/90mmHg。在VALUE试验的3个亚组中,SBP分为<130mmHg、130-139mmHg及≥140mmHg,DBP则分为<80mmHg、80-89mmHg及≥90mmHg。92.3%的PAD患者既往接受过抗高血压治疗,随访事件为4-6年,首次治疗的6个月内每月随访1次,后期间隔6月随访1次。主要不良心血管事件(MACE)作为主要结局,包括心肌梗死、心脏性死亡、需住院治疗的心衰及卒中四项。


在13803名VALUE试验研究对象中,有1898名患者在随访中诊断PAD(13.8%),平均年龄66.7岁,PAD患者基线SBP及平均达到的血压均高于非PAD患者。在中位数为4.5年的随访期间,PAD患者的MACE发生率显著高于无PAD患者(13.6% vs 10.9%;调整后的HR为1.23, 95%CI:1.07-1.41;P=0.003),而主要结局的发生率在抗高血压治疗方案之间并无显著差异(P=0.365)。


亚组分析表明,高血压合并PAD患者抗高血压治疗后达到的SBP<130mmHg及介于130-139mmHg之间,其MACE风险较SBP≥140mmHg低(调整后HR分别为0.65,95% CI:0.43-0.97;0.85,95%CI:0.74-0.97),DBP分组显示了同样的趋势,但SBP<130mmHg与心血管死亡风险降低相关(调整后HR为0.33,95%CI:0.12-0.92)。当治疗后达到的SBP>110mmHg时,SBP每增加10mmHg,心血管事件风险增加24%(调整后的HR为1.24 ,95%CI:1.11-1.39;P<0.001),心因性死亡风险增加41%,这一结论并不受心血管危险因子、年龄、性别和其他共患疾病的影响。此外,Logistic回归分析表明血压控制不达标可能与年龄、糖尿病、左心室肥厚、基线SBP水平和分配的抗高血压治疗方案相关。


图片1.png


研究者说:

到目前为止,关于高血压合并PAD患者治疗结果的数据一直缺乏。该研究结果支持PAD患者积极控制血压以降低心血管发病率和死亡率,同时不同降压治疗方案对PAD患者的主要结局发生率无显著差异,这强调了最佳血压控制的重要性,而不是治疗策略本身。这些发现对临床医生很重要,但仍需进行验证性前瞻性临床试验,以更好地为当前针对PAD患者的指南和实践提供信息。



参考文献:Cardiovascular Outcomes in HypertensionTreated Patients With Peripheral Artery Disease: The VALUE Trial(https://pubmed.ncbi.nlm.nih.gov/38716657/)

200 评论

查看更多