查看更多
密码过期或已经不安全,请修改密码
修改密码
壹生身份认证协议书
同意
拒绝
同意
拒绝
同意
不同意并跳过
喝酒对身体健康的影响是怎样的?有心血管疾病的人还能不能喝酒?在日常生活中,我们对喝酒这件事都持有不同的看法。
众所周知,日常生活方式和饮食习惯在心血管疾病(CVD)的二级预防中起着重要作用,很多医生都会千叮咛万嘱咐(不要喝酒)。
然而,饮酒对心血管疾病患者预后的影响尚不清楚,不同健康指南对患者饮酒上限的建议也存在较大差异。
在一般人群中,轻度至中度饮酒与较低的心血管疾病风险相关,但由于心血管疾病患者的年龄通常较大,心血管系统存在明显的老化受损,加之他们为预防继发疾病而服用的日常药物,饮酒行为可能会造成一些连锁反应。
此外,对于 CVD 患者,有人担心酒精对人体循环系统有潜在危害,如高血压、心律失常和出血性中风等。
然而,经过大规模样本研究,适量饮酒可能是有益的。
近日,来自伦敦大学学院流行病学与公共卫生研究室的科研人员们通过一项包含48423名患者样本的实验得出结论:
每周摄入不超过105克酒精(约少于6品脱的中度啤酒或一瓶葡萄酒),可能会降低心血管疾病患者心脏病发作、中风、心绞痛或死亡的风险。
研究结果发表在开放获取期刊BMC Medicine 上。

(来源:BMC Medicine)
但研究人员也不忘强调:
“实验结果表明,患有心血管疾病的人可能不需要通过停止饮酒的方式,来防止额外的心脏病发作、中风或心绞痛,但应该考虑将每周酒精摄入量降低到安全水平。由于饮酒会增加患其他疾病的风险,因此也不鼓励那些不喝酒的 CVD 患者去饮酒。”
业内探讨 CVD 患者饮酒与预后之间的关系,常用的一种实验方法叫作荟萃分析(Meta-analysis),即一类对具备特定条件的、同课题的诸多研究结果进行综合分析的统计方法。
通过结合1998-2008年间发表的8项观察研究的数据,研究人员初步发现,与不饮酒的人相比,心肌梗死、心绞痛或中风患者的心血管死亡率在约摄入酒精量 8 g/天时最大降低 22 %,全因死亡率在约摄入酒精量 7 g/天时可最大降低18%。
然而,这些分析仅限于研究死亡率,并没有考虑任何非致命性的结果。
近 10 年来,关于“喝酒与心血管疾病”相关的主题研究争论日益激烈,在缺乏长期临床试验的情况下,有必要对证据进行更详细和全面的重新评估。
为此,研究人员还分析了来自 3 个大规模队列的样本数据,数据分别来自英国健康调查(HSE)、苏格兰健康调查(SHeSs)和英国生物样本库(UK Biobank)的参与者。
除了估计 CVD 患者的死亡风险外,还研究了酒精摄入与随后心血管事件之间的关系,基于本项研究的结果与通过系统回顾确定的已发表研究结果进行荟萃分析,评估了饮酒量与三种结果的关系:
全因死亡率、心血管疾病和主要心血管事件。
他们把以前的饮酒者和从不饮酒者分开,把现在的饮酒者则分为三组:
低程度饮酒者(每周 ≤ 14 个单位,一个单位含有 8 克乙醇),中度饮酒者(男性每周 14-50 个单位,女性每周 14-35 个单位),以及高程度饮酒者(男性每周大于 50 个单位,女性每周大于 35 个单位)。
参与者必须有关于其饮酒状况和平均酒精摄入量的基线信息,以及年龄、性别、吸烟状况、自我报告的糖尿病和高血压病史、社会经济地位/教育、体重指数和常规药物等。
此次实验中,研究人员进行了多个层次的研究。
首先是研究样本队列中饮酒与死亡率和心血管病发病率的关系。
在 HSE/SHeSs 样本库 9.5 年和英国生物样本库 8.7 年的中位随访期间,研究人员确定了 1257 例 HSE/SHeSs 参与者死亡和 1640 例英国生物样本库参与者死亡。
其中,492 例(39.1%)和 631 例(38.5%)死亡分别是由心血管原因引起的,但在所有类别的当前饮酒者中观察到了较低的心血管事件风险。

图|研究队列中饮酒类别与全因死亡率、心血管死亡率和心血管事件的关联(来源:BMC Medicine)
在最初的 1722 篇独特引文中,14 篇已发表的研究符合研究人员的选择标准被纳入了荟萃分析。
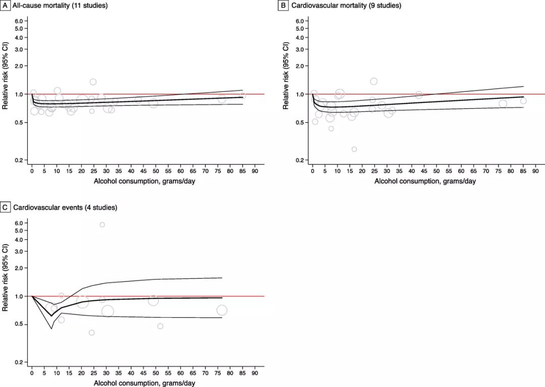
关于心血管疾病患者的饮酒量和全因死亡率之间的关系:其中 11 项研究,包括 41743 名 CVD 患者,参与了该分析。总体而言,观察到 J 形曲线关联,对于主要心血管事件,适度饮酒与既往心肌梗死或心绞痛患者的总死亡率较低相关。

图|饮酒与死亡风险和随后的心血管事件之间的总体剂量反应关系(来源:BMC Medicine)
心血管疾病患者的饮酒量和心血管死亡率:其中 9 项研究包括 24770 名患者,被纳入心血管死亡率的荟萃分析,与饮酒的总体关联也可被解释为 J 曲线。
在 8 g/天时,死亡率风险的最大降低率为 27%,在 50 g/天时达到逆转点,按原发事件分层分析显示,中度饮酒与既往心肌梗死患者心血管死亡率较低相关。
心血管疾病患者饮酒与心血管事件的关系:在涉及饮酒和心血管事件的四项研究中,包含 28621 名患者,饮酒与心血管事件风险的显著降低相关,高达 15 g/天,在不同原发事件的患者和采用多种酒精测量方法的研究中发现,适量饮酒对心血管事件具有一定保护作用。
通过对英国 3 个主要研究样本库以及多项已发表研究的结果进行荟萃分析,研究人员发现心血管疾病患者饮酒与死亡率之间存在 J 曲线关系。
最终研究结果表明,在 CVD 患者中,降低死亡率和心血管疾病发病率的饮酒上限约为 105 克/周,低于大多数现行指南中的建议,例如世界卫生组织 2007 年关于预防复发性心肌梗死和中风的建议为不超过 166 g/周。
关于此次研究的优势和局限性,也有证据表明,由于将以前的饮酒者纳入不饮酒参照组,因此,本实验结果可能高估了全因死亡率和随后事件风险的降低。
然而,研究人员尚无法确定这种高估的程度,因为很少有研究明确排除了以前的饮酒者。
而且,CVD 患者常用的许多药物可通过改变药物和酒精代谢之间的相互作用,风险和严重程度随着饮酒水平的增加而增加。例如,大量饮酒与华法林会增强抗凝作用并可能导致大出血。
在此次研究中,研究人员未发现适度饮酒量死亡率和心血管事件的风险升高,这与 CVD 患者中的其他荟萃分析一致,但与一些一般人群研究的证据相矛盾。
大量饮酒并在年龄较大时参加研究的患者更有可能代表“健康的幸存者”或有更安全的饮酒模式。
由于大多数纳入的研究没有捕捉到饮酒的极端情况,因此可能不足以研究非常大量饮酒的影响。
研究人员表示,在本项分析中观察到的酒精摄入影响应该谨慎解释,特别是考虑到老年人滥用酒精的担忧以及已知的更广泛的健康和社会影响。
同时,此次研究还有进一步的局限性存在。
首先,心源性死亡和一些非致命性心血管疾病研究跨越了多个已发表的研究,最近的观察和遗传证据表明,适度饮酒与降低某些而不是所有形式的 CVD 风险有关,但其中的异质性可能反映了饮酒对不同 CVD 结果更复杂多样的影响。
其次,本项研究结果涉及仅在有限数量的研究中检查过的一些亚组,必须谨慎解释。另外,由于很少有研究报告足够的酒类特定数据,因此无法对其他酒类做进一步分析。
再次,偶发性酗酒可以改变平均饮酒量与心血管疾病/死亡风险之间的关系。本项研究结果可能会被饮酒模式所迷惑,因为选定的研究没有排除“狂饮”的饮酒者,容易产生偏差。
综合来看,基于英国的 3 个大规模样本队列研究分析,研究人员初步得出的结论是每周摄入 105 g 的酒精可以有效降低 CVD 患者的死亡率和随后发生心血管事件的风险。
虽然这一阈值略低于大多数现行指南中的建议值,但无法提出具体建议,不能对此类指南进行直接修订。
因为有一些迹象表明,通过使用不太健康的以前的饮酒者污染的参照组数据进行研究,风险的降低水平可能被高估了,虽然没有证据表明重度饮酒者继续喝酒的风险升高,但这可能归因于选择和数据集中此类饮酒者的代表性不足。
不过,这次的研究结果却能够依托数据分析表明,对于 CVD 的二级预防,目前的饮酒者可能不需要完全停止饮酒,但应该被告知要保持在较低的酒精摄入水平(约 105 g/周),“小喝一点”可能会降低风险。
然而,不喝酒的病人也不应该被鼓励去喝清淡的酒,因为众所周知,这可能会对其他健康结果产生不良影响。
落到生活实处,最终还是要看个人的饮酒习惯和身体状况来具体判定喝酒这件事儿。
来源:学术头条
查看更多