壹生大学

壹生身份认证协议书

本项目是由壹生提供的专业性学术分享,仅面向医疗卫生专业人士。我们将收集您是否是医疗卫生专业人士的信息,仅用于资格认证,不会用于其他用途。壹生作为平台及平台数据的运营者和负责方,负责平台和本专区及用户相关信息搜集和使用的合规和保护。
本协议书仅为了向您说明个人相关信息处理目的,向您单独征求的同意,您已签署的壹生平台《壹生用户服务协议》和《壹生隐私政策》,详见链接:
壹生用户服务协议:
https://apps.medtrib.cn/html/serviceAgreement.html
壹生隐私政策:
https://apps.medtrib.cn/html/p.html
如果您是医疗卫生专业人士,且点击了“同意”,表明您作为壹生的注册用户已授权壹生平台收集您是否是医疗卫生专业人士的信息,可以使用本项服务。
如果您不是医疗卫生专业人士或不同意本说明,请勿点击“同意”,因为本项服务仅面向医疗卫生人士,以及专业性、合规性要求等因素,您将无法使用本项服务。

同意

拒绝

同意

拒绝

知情同意书

同意

不同意并跳过

工作人员正在审核中,
请您耐心等待
审核未通过
重新提交
完善信息
{{ item.question }}
确定
收集问题
{{ item.question }}
确定
您已通过HCP身份认证和信息审核
(
5
s)

碳青霉烯类治疗多重耐药革兰阴性菌感染——来自ESCMID Global的报道

2024-06-18作者:贾茹资讯


欧洲临床微生物学和传染病学会年会(ESCMID Global)是感染领域具有重大影响的学术大会,第34届ESCMID Global于2024年4月27日~4月30日在西班牙巴塞罗那举行。本文简要介绍了“碳青霉烯类治疗多重耐药革兰阴性菌(MDR-GNB)“专题辩论内容。


碳青霉烯类治疗多重耐药革兰阴性菌感染:支持


来自美国约翰霍普金斯大学医学院Pranita Tamma教授在辩论中指出, ESBLs可使青霉素、头孢菌素和氨曲南失活,但无法使非β-内酰胺类药物失活;携带ESBLs基因是细菌对多种抗菌药物耐药的决定性因素,但大多数微生物实验室并未对所有标本进行常规ESBLs检测,仅依据头孢曲松最低抑菌浓度(MIC)≥2μg/ml判断菌株是否产ESBL,这种方法特异性有限,结果可能过于敏感。CTX-M酶是最常见的ESBL酶型1,主要存在于大肠埃希菌(ECO,73%)、肺炎克雷伯菌(KP,24%)中2


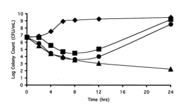
Pranita Tamma教授认为,使用碳青霉烯类药物初始治疗产ESBLS菌感染的一个主要理由在于,碳青霉烯类药物较传统β-内酰胺类药物对产ESBLS菌的抗菌活性更明确。体外抗菌实验结果显示,哌拉西林/他唑巴坦高接种量产ESBLs肺炎克雷伯菌在8h达到99%的杀菌效果,但其后便出现产ESBLs肺炎克雷伯菌生长;而美罗培南对高接种量产ESBL-KP的杀菌效果可在24h内保持在99.9%(图1)3


此外,Pranita Tamma教授指出,他唑巴坦抑制ESBL酶存在诸多局限:1、他唑巴坦可抑制SHV和TEM酶,但不能抑制CTX-M酶;2、当存在ESBL酶或CTX-M酶OXA-1酶,哌拉西林/他唑巴坦MIC检测结果可能不准确;3、他唑巴坦的抑酶活性会因ESBL酶或其他β-内酰胺酶(如AmpC酶)表达增加而降低;4、肠杆菌科细菌对哌拉西林/他唑巴坦的药敏折点取决于哌拉西林的药代动力学/药效学(PK/PD),而非他唑巴坦。


 image.png

图1  哌拉西林/他唑巴坦与美罗培南对高接种量产ESBL-KP的时间杀菌曲线3

(◆:生长对照;■:哌拉西林/他唑巴坦;●:头孢吡肟;▲:美罗培南)


Pranita Tamma教授认为,使用碳青霉烯类药物初始治疗产ESBLS菌感染的第2个主要理由在于,碳青霉烯类药物较传统β-内酰胺类药物可改善产ESBLS菌感染患者预后。哌拉西林/他唑巴坦与美罗培南非劣效性试验(MERINO)结果显示,哌拉西林/他唑巴坦治疗对头孢曲松不敏感的大肠埃希菌(ECO)或肺炎克雷伯菌(KP)引起的血流感染(BSI)患者未达到30天死亡率的非劣效(12.3% vs 3.7%,风险差异8.6%[单侧97.5%CI,−∞ - 14.5% ],P=0.90)(图2)4。由于不太可能证明非劣效性,研究被提前终止。在MERINO试验的微生物学可评估人群中,分离菌株对哌拉西林/他唑巴坦的敏感率高达94%,但哌拉西林/他唑巴坦治疗30天死亡率仍然高于美罗培南(11% vs 4%)5


Pranita Tamma教授提出,对于非产CTX-M酶的产ESBL肠杆菌科细菌(ESBL-E)引起的BSI,是否必须使用碳青霉烯类药物治疗?在一项仅限于哌拉西林/他唑巴坦与美罗培南治疗非产CTX-M酶的ESBL-E引起的BSI的探索性分析中,美罗培南治疗的21例患者中86%在第30d仍存活,哌拉西林/他唑巴坦治疗的5例患者无一幸存6


 image.png

图2  哌拉西林/他唑巴坦与美罗培南治疗对头孢曲松不敏感的ECO或KP引起的BSI患者30天生存曲线4


Pranita Tamma教授建议,哌拉西林/他唑巴坦经验性治疗产ESBLs菌引起的非复杂性膀胱炎,如临床改善则无需调整用药或延长疗程。多项临床研究结果表明,哌拉西林/他唑巴坦治疗产ESBLs菌引起的肾盂肾炎和复杂性尿路感染(cUTI)的结果相似7-12。对于产ESBLs菌引起的肾盂肾炎和cUTI患者伴有尿潴留/尿路梗阻,Pranita Tamma教授倾向于优先选择碳青霉烯类药物初始治疗;若无上述并发症或并非cUTI,Pranita Tamma教授认为可能选择哌拉西林/他唑巴坦更优。

Pranita Tamma教授指出,头孢吡肟治疗产ESBLS菌感染尚存在诸多局限:1、CTX-M酶可水解头孢吡肟;2、头孢吡肟存在与哌拉西林/他唑巴坦类似的体外抗菌活性问题;3、与碳青霉烯类药物相比,头孢吡肟治疗产ESBL菌引起的BSI的30天死亡率更高(58.8% vs 17.9%,P=0.001)13;4、一项头孢吡肟治疗ESBL-E引起的尿路感染(UTI)的前瞻性随机对照试验,因治疗失败率较高被提前终止,其28天死亡率高于厄他培南(33.3% vs 6.1%,P=0.108)12,;5、头孢吡肟治疗产ESBL阴沟肠杆菌菌血症患者的30天死亡率高于非产ESBL者(100.0% vs 0%,P<0.001)14


Pranita Tamma教授强调,产ESBLs菌虽然对头霉素敏感率高,但其治疗产ESBLs菌感染面临诸多问题:1、头霉素的可及性因国家而异,大多数头霉素的PK/PD数据有限;2、大多头霉素需24h内多次静脉给药,治疗产ESBLs菌感染的可行性不及首选药物;3、头霉素治疗产ESBLs菌的临床研究存在显著异质性,包括给药方案。


Pranita Tamma教授认为,使用碳青霉烯类药物初始治疗产ESBLs菌感染的第3个主要理由在于,需要保留新型β-内酰胺类药物用于治疗难治性感染。头孢他啶/阿维巴坦中阿维巴坦可结合并抑制ESBL酶,保护头孢他啶免受水解15;3期REPRISE试验结果证实其能够有效治疗ESBL-E感染16。美罗培南/韦博巴坦与亚胺培南/西拉司丁/瑞来巴坦因其中的碳青霉烯成分对ESBL-E有足够的抗菌活性,因而其β-内酰胺酶抑制剂复合制剂可提供的附加价值不大。头孢洛扎/他唑巴坦中头孢洛扎即使在没有他唑巴坦的情况下,不易被ESBL水解,较哌拉西林更稳定;3期临床试验结果显示,其治疗产ESBL-ECO/KP引起的腹腔感染的临床治愈率高于美罗培南(98.1% vs 88.5%)17。Pranita Tamma教授倾向于使用新型β-内酰胺类药物治疗碳青霉烯类耐药菌单一感染或混合感染。


Pranita Tamma教授在会议最后提出,临床数据支持使用碳青霉烯类药物初始治疗产ESBLS菌感染,在观察到临床改善后,可根据感染源考虑调整用药,选择口服甲氧苄啶/磺胺甲噁唑、环丙沙星、左氧氟沙星、多西环素和氨基糖苷类。临床应保留新型β-内酰胺类药物治疗碳青霉烯类耐药菌感染,因其治疗方案选择有限。哌拉西林/他唑巴坦可用于治疗产ESBLS菌引起的无并发症的肾盂肾炎。现有数据尚不支持头孢吡肟治疗产ESBLS菌感染。头孢菌素能否作为产ESBLS菌感染的首选方案,仍需更多临床数据支持。


碳青霉烯类治疗多重耐药革兰阴性菌感染:反对


来自牛津大学临床研究中心Heiman Wertheim教授ESCMID Global大会中指出,碳青霉烯类药物存在诸多不合理使用的情况,如不确定病因、耐药模式/机制、治疗持续时间及治疗剂量等。细菌在抗菌药物的选择压力下,产生了青霉素酶、广谱青霉素酶、头孢菌素酶(如ESBL)、碳青霉烯酶等耐药酶,其中ESBLs推动了碳青霉烯类药物的广泛使用。2000年至2010年间碳青霉烯类药物使用量大幅增加18。一项跨国前瞻性队列研究结果显示,耐碳青霉烯肠杆菌科细菌(CRE)较碳青霉烯类敏感肠杆菌科细菌(CSE)引起的BSI死亡率更高(35% vs 20%),住院时间延长3.7d(95%CI0.3~6.9)19


Heiman Wertheim教授建议,应基于药敏试验,根据耐药机制来制定CRE感染治疗方案。2021 荷兰脓毒症经验性抗菌治疗指南指出,对于具有第三代头孢菌素耐药肠杆菌科细菌 (3GCR-E) 感染风险增加但既往(1年)无3GCR-E感染/定植的脓毒症患者,应采用碳青霉烯类节制策略20荷兰一项多中心回顾性研究结果显示,对于ESBLS菌引起的菌血症患者,使用除碳青霉烯类以外的所有β-内酰胺类抗生素均被定义为非适当治疗,尽管如此,β-内酰胺/β-内酰胺酶抑制剂复合制剂(BLBLIs)初始治疗与30天死亡率并无显著相关性(OR 1.53; 95%CI,0.68~3.45)21


那么,除了碳青霉烯类药物外,有哪些抗菌药物可供临床选择?Heiman Wertheim教授认为,在选择抗菌药物时需综合考虑感染类型、耐药机制及治疗成本,新药并不总是更好,必要时需要新旧联合。


替莫西林是20世纪80年代由英国beecham公司开发的β-内酰胺类抗生素,适用于治疗产β-内酰胺酶(SHV、TEM、CTX-M)、包括AmpC酶的革兰阴性菌感染。一项多中心病例对照研究结果显示,替莫西林与碳青霉烯类药物治疗由ESBL-E引起的UTI的临床治愈率无显著差异(94% vs 99%,P=0.206)22。另一项随机多中心临床试验发现,在发热性UTI的经验性治疗中使用替莫西林替代头孢噻肟,可降低3GCR-E肠道定植风险22%(95%CI:-42% - -3%)23


尽管MERINO试验结果显示,哌拉西林/他唑巴坦治疗对头孢曲松不敏感的ECO或KP引起的BSI未达到30天死亡率的非劣效4,但Heiman Wertheim教授指出,这项研究既未延长哌拉西林/他唑巴坦输注时间,也未考虑其药敏折点。MERINO事后分析发现,当排除MERINO试验中对哌拉西林/他唑巴坦不敏感菌株后,哌拉西林/他唑巴坦与美罗培南治疗的30天死亡率差异不及MERINO试验的初步分析显著52022 ESCMID指南建议,使用哌拉西林/他唑巴坦治疗由3GCR-E引起的低风险、非严重感染24


头孢西丁是于1971年开发的头霉素,虽可诱导β内酰胺酶,但能有效治疗产ESBL-ECO感染。一项回顾性研究结果显示,与碳青霉烯类药物相比,头孢西丁治疗ESBL-KP菌血症的30天临床成功率无显著差异(57% vs 53%,P=0.823),30天全因死亡率数值更低(29% vs 42%,P=0.131);当感染源为中心导管感染或UTI时,头孢西丁治疗失败率较低,仅17%和37%25



专家简介



杨  帆 教授



主任医师,医学博士

复旦大学附属华山医院  院感科主任,抗生素研究所临床应用室主任

中华医学会细菌感染与耐药防治分会 委员兼秘书长

中华预防医学会感染控制专业委员会 常委

中国医药教育协会感染疾病专业委员会 常委

中国细菌耐药监测网专家委员会 委员

上海市医学会感染与化疗分会 主任委员

上海市医院协会医院感染管理专委会 副主任委员

上海市医师协会临床合理用药分会 副会长

上海市抗菌药物合理应用与管理专委会 办公室主任

培元、培英、培微项目专家委员会 委员

教育部新世纪优秀人才、上海优秀青年医学人才


专家点评

Heiman Wertheim教授指出,匹美西林可用于治疗无并发症的产ESBLS菌引起的膀胱炎,头孢吡肟仅限于治疗对其MIC≤1mg/L细菌感染,氨曲南建议与阿维巴坦联合使用。以美国为中心的医保决策分析模型结果显示,匹美西林可减轻肠杆菌科细菌引起的单纯性尿路感染 (uUTI)门诊患者不当治疗带来的经济负担,尤其是具有当前标准护理药物耐药肠杆菌科细菌感染高风险的患者26


氨曲南/阿维巴坦于2024年3月经欧洲药品管理局批准上市,用于治疗复杂性腹腔感染、医院获得性肺炎(包括呼吸机相关性肺炎)、cUTI(包括肾盂肾炎),及治疗方案选择有限的成年患者中由革兰阴性需氧菌引起的感染。Heiman Wertheim教授建议,仅在治疗方案选择有限的情况下使用氨曲南/阿维巴坦。值得注意的是,德国已出现对氨曲南/阿维巴坦耐药的产NDM酶和OXA-48酶的大肠埃希菌菌株27


Heiman Wertheim教授在会议最后提出,应在危重患者的初始治疗中限制碳青霉烯类药物使用,过度使用将间接导致临床不良结局。精准的微生物诊断有助于选择适当的抗菌药物,降低治疗成本,挽救患者生命。临床应保留新型β-内酰胺类药物治疗碳青霉烯类耐药菌感染,因其治疗方案选择有限。对于新药如氨曲南/阿维巴坦、头孢地尔,需采取节约策略。


碳青霉烯类药物与哌拉西林/他唑巴坦治疗产ESBLs细菌感染的死亡率差异报道主要来自血流感染,将其外推至所有感染,会导致碳青霉烯类药物过度使用,增加耐药风险。对于非血流、非重症感染,仍可考虑使用哌拉西林/他唑巴坦、头孢霉素类药物等。


本文经杨帆教授审核

仅供医疗卫生专业人士阅读/参考


参考文献:

1. Castanheira M, et al. JAC Antimicrob Resist. 2021;3:dab092.

2. Hareza DA, et al. clin infect Dis. 2024 online ahead of print

3. Burgess D S, et al. Diagnostic microbiology and infectious disease, 2004, 49(1): 41-46.

4. Harris PNA, et al. JAMA. 2018 Sep 11;320(10):984-994. 

5. Henderson A, et al. Clin Infect Dis. 2021 Dec 6;73(11):e3842-e3850.

6. Hareza DA, et al. Clin Infect Dis. 2023 Nov 16:ciad703. 

7. Sharara Sl, et al. Clin lnfect Dis. 2019;71:e331-e337.

8. Dizbay M, et al. Turk J Med Sci. 2016;46(6):1760-1764.

9. Yoon YK,et al. int J Antimicrob Agents. 2017;49(4):410-415.

10. Branton AC, et al. JAC Antimicrob Resist. 2023;5(2):dlad021.

11. Stefanos ss, et al. JAc Antimicrob Resist, 2023:5(3):dlad055.

12. Seo YB, et al., BMC infect Dis, 2017;17(1):404.

13. Lee NY, et al. Clin Infect Dis. 2013;56(4):488-495.

14. Lee NY, et al. Antimicrob Agents Chemother. 2015;59(12):7558-7563.

15. Bush K, et al. Nat Rev Microbiol. 2019 Jul;17(7):459. 

16. Kollef MH, et al. Lancet Infect Dis. 2019;19(12):1299-1311. 7

17. Popejoy MW, et al. J Antimicrob Chemother. 2017;72(1):268-272.

18. Van Boeckel TP, et al. Lancet Infect Dis. 2014 Aug;14(8):742-750.

19. Stewardson AJ, et al. Lancet Infect Dis. 2019 Jun;19(6):601-610.

20. Sieswerda E, et al. BMC Infect Dis. 2022 Aug 11;22(1):687. 

21. Frakking FN, et al. Antimicrob Agents Chemother. 2013 Jul;57(7):3092-9. 

22. Delory T, et al.  Int J Antimicrob Agents. 2021 Jul;58(1):106361.

23. Edlund C, et al. Lancet Infect Dis. 2022 Mar;22(3):390-400. 

24. Paul M, et al. Clin Microbiol Infect. 2022 Apr;28(4):521-547.

25. Dequidt T, et al. Crit Care. 2023 Nov 1;27(1):418. 

26. Lodise TP, et al. Open Forum Infect Dis. 2021 Oct 15;8(10):ofab380. 

27. Nordmann P, et al. Antimicrob Agents Chemother. 2021 Oct 18;65(11):e0109021.

200 评论

查看更多