壹生大学

壹生身份认证协议书

本项目是由壹生提供的专业性学术分享,仅面向医疗卫生专业人士。我们将收集您是否是医疗卫生专业人士的信息,仅用于资格认证,不会用于其他用途。壹生作为平台及平台数据的运营者和负责方,负责平台和本专区及用户相关信息搜集和使用的合规和保护。
本协议书仅为了向您说明个人相关信息处理目的,向您单独征求的同意,您已签署的壹生平台《壹生用户服务协议》和《壹生隐私政策》,详见链接:
壹生用户服务协议:
https://apps.medtrib.cn/html/serviceAgreement.html
壹生隐私政策:
https://apps.medtrib.cn/html/p.html
如果您是医疗卫生专业人士,且点击了“同意”,表明您作为壹生的注册用户已授权壹生平台收集您是否是医疗卫生专业人士的信息,可以使用本项服务。
如果您不是医疗卫生专业人士或不同意本说明,请勿点击“同意”,因为本项服务仅面向医疗卫生人士,以及专业性、合规性要求等因素,您将无法使用本项服务。

同意

拒绝

同意

拒绝

知情同意书

同意

不同意并跳过

工作人员正在审核中,
请您耐心等待
审核未通过
重新提交
完善信息
{{ item.question }}
确定
收集问题
{{ item.question }}
确定
您已通过HCP身份认证和信息审核
(
5
s)

阻塞性睡眠呼吸暂停血浆来源的外泌体通过海马神经元细胞焦亡介导认知障碍 | 呼吸研究展播

2025-03-18作者:论坛报小璐资讯
原创




成果名称:阻塞性睡眠呼吸暂停血浆来源的外泌体通过海马神经元细胞焦亡介导认知障碍

Obstructive Sleep Apnea Plasma-Derived Exosomes Mediate Cognitive Impairment Through Hippocampal Neuronal Cell Pyroptosis

发表期刊:The American journal of geriatric psychiatry(IF:4.4)

通讯作者:欧阳若芸

第一作者:陈志锋

主要作者单位:中南大学湘雅二医院


该研究通过收集健康对照和重度阻塞性睡眠呼吸暂停(OSA)患者的血浆外泌体,并将外泌体进行体内和体外干预评估对细胞焦亡和炎症反应的作用介导OSA认知障碍的发生。研究揭示了来自重度OSA患者的血浆外泌体在体内和体外促进细胞焦亡和炎症因子表达增加,并导致小鼠认知功能受损,表明OSA血浆外泌体可以通过海马神经元细胞焦亡介导认知障碍。此外,来自OSA外泌体组分显示出独特的miRNAs表达谱。



一、背景


阻塞性睡眠呼吸暂停(OSA)与认知功能受损有关。外泌体由大多数细胞分泌,并在OSA 相关的认知障碍(CI)中发挥作用。通过收集健康对照和重度OSA患者的血浆外泌体,并将外泌体进行体内和体外干预检测细胞焦亡、炎症水平和小鼠认知功能,同时将细胞焦亡指标与呼吸暂停低通气指数(AHI)和北京版蒙特利尔认知评估量表(MoCA)评分进行相关性分析,评估细胞焦亡介导OSA认知障碍的作用机制。


一、主要结果


01
受试者人口统计学特征


下表显示了30名参与者的人口统计学特征和多导睡眠图指数,包括15名健康对照和15名重度OSA患者。健康对照与重度OSA患者在年龄、性别、教育程度、吸烟史方面无差异。然而,两组之间的 BMI 存在差异。与 HCs 相比,重度 OSA 患者的 AHI 、 ODI 和 ESS 评分更高。然而,与重度 OSA 患者相比,HCs 的 LSaO2 更高、 MSaO2和 MoCA 分数。这些结果表明,与 HC 相比,严重的 OSA 患者的呼吸功能下降,并且有明显的嗜睡和认知障碍倾向。


image.png


02
外泌体表征和海马神经元细胞摄取


透射电子显微镜显示血浆外泌体是球形的,具有双膜结构(A)。纳米粒径跟踪分析测量显示,血浆外泌体的直径主要在10到100 nm之间,峰值在70 nm处,这与之前报道的外泌体尺寸分布一致(B)。蛋白免疫印迹结果证实这些颗粒表面存在CD9和CD63等标志物,进一步证实它们是外泌体(C)。相比之下,细胞质蛋白GAPDH在颗粒中低表达或无表达(C)。这些数据表明这些纳米颗粒是外泌体。为了证明外泌体的摄取,将海马神经元细胞与PKH67 标记的血浆外泌体共培养,发现外泌体在海马神经元细胞中以荧光膜染料的形式内化。


图片2.png

图1 外泌体表征和海马神经元细胞摄取


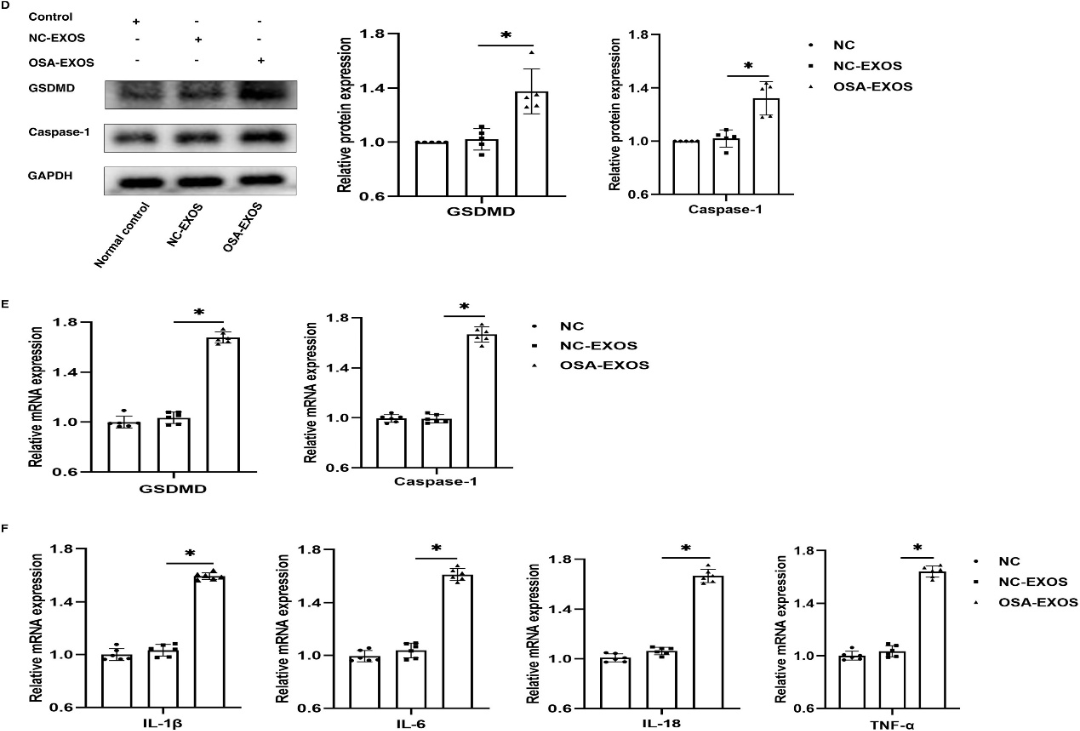
03
OSA血浆外泌体促进海马神经元细胞焦亡和炎症反应


将健康对照和OSA外泌体与海马神经元细胞共培养并检测细胞焦亡的表达。结果显示,与健康对照组相比,OSA外泌体海马神经元细胞中GSDMD和Caspase-1的蛋白和mRNA表达显著增加(A和B)。同时,OSA外泌体组海马神经元细胞的IL-1β、IL-6、IL-18和TNF-α与健康对照组相比显著升高,表现出与细胞焦亡一致的趋势(C)


图片3.png

图2 OSA血浆外泌体促进海马神经元细胞焦亡和炎症反应


04
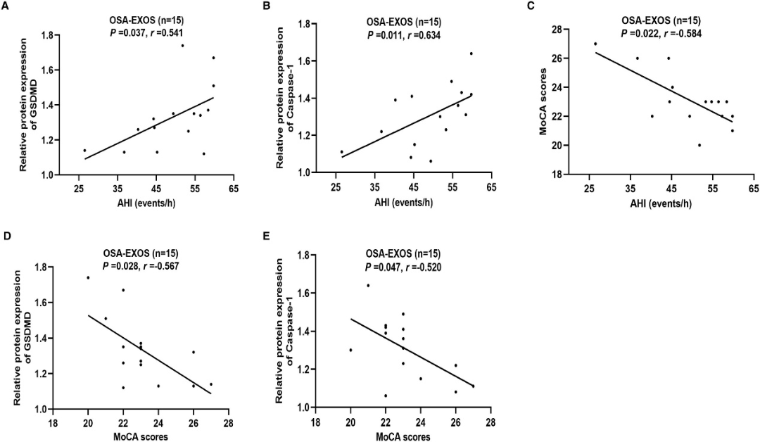
OSA外泌体组临床AHI和MoCA与海马神经元细胞焦亡水平的相关性


我们分析了临床AHI和MoCA与OSA外泌体和海马神经元细胞共培养后检测到的细胞焦亡蛋白的相关性。结果显示,在OSA外泌体组中,临床AHI与GSDMD 蛋白水平呈正相关(r = 0.541,p = 0.037; A)和Caspase-1蛋白水平(r = 0.634,p = 0.011; B),但与MoCA呈负相关(r = -0.584,p = 0.022;此外,临床MoCA与GSDMD蛋白水平呈负相关(r = -0.567,p = 0.028; D)和Caspase-1蛋白水平(r = -0.520,p = 0.047; E)。


图片4.png

图3 OSA外泌体组临床AHI和MoCA与海马神经元细胞焦亡水平的相关性


05
OSA血浆衍生的外泌体会导致小鼠的行为和认知缺陷


通过尾静脉将外泌体或 1xPBS 注射到小鼠体内,用 PKH67 标记血浆外泌体,组织检查结果显示海马具有外泌体绿色荧光(A)。与健康对照组相比,OSA外泌体组的逃逸潜伏期显著增加(B)。同时,在移除平台后对小鼠进行记忆测试。结果显示,与健康对照组相比,OSA外泌体组在目标象限中停留的时间百分比和穿越目标平台的频率显著降低(C和D)。此外,游泳轨迹显示,OSA外泌体组的小鼠在非目标象限中停留的时间比健康对照组的小鼠长(E)


图片5.png

图4 OSA血浆衍生的外泌体会导致小鼠的行为和认知缺陷


06
OSA血浆衍生的外泌体在体内促进海马体的焦亡和炎症


组织病理学结果显示,健康对照组的海马神经元排列整齐,细胞核清晰、核仁明显、细胞质丰富,而OSA外泌体组的海马细胞出现大量神经元变性、结构疏松、核仁消失(A)。同时,OSA外泌体组的海马神经元数量与健康对照组相比显著减少(B)。与健康对照组相比,OSA外泌体组海马组织免疫组织化学分析显示GSDMD和Caspase-1染色显著增加(C)。此外,海马中GSDMD和Caspase-1的蛋白和mRNA水平显著升高,而炎症因子IL-1β、IL-6、IL-18和TNF-α的表达上调,引发炎症并加重神经元损伤(D、E 和 F)。


图片6.png

图片7.png

图5 OSA血浆衍生的外泌体在体内促进海马体的焦亡和炎症


07
OSA 血浆来源的外泌体中 miRNA 的分析


聚类热图的结果显示血浆外泌体的miRNAs表达谱存在显著差异。与健康对照相比,28个 miRNAs在OSA的血浆外泌体中差异表达(A)。在KEGG数据库中,发现了多个外泌体靶向通路,包括Rap1、Hippo、Wnt信号通路等(B)。同时,对44个KEGG通路进行分类,涉及细胞过程、环境信息处理、遗传信息处理、人类疾病、新陈代谢、有机系统(C)。此外,GO富集分析显示,与分子功能相关的富集项有20个,包括蛋白质结合、转移酶活性、核苷酸活性、蛋白激酶活性等(D)。


图片8.png

图6 OSA 血浆来源的外泌体中 miRNA 的分析


研究者说

本研究揭示了来自重度OSA患者的血浆衍生外泌体在体内和体外促进细胞焦亡和炎症因子表达增加,并导致小鼠认知功能受损,表明OSA外泌体可以通过海马神经元细胞焦亡介导 CI。此外,与健康对照相比,来自OSA的外泌体组分显示出独特的miRNAs表达谱,表明血浆外泌体相关miRNAs可能反映了OSA相关疾病(如 CI)的差异谱。



作者简介


欧阳若芸.png
欧阳若芸 教授
通讯作者

中南大学湘雅二医院


呼吸与危重症医学科睡眠呼吸障碍病房主任

博士,主任医师,教授,博士生导师

中华医学会呼吸病学分会睡眠呼吸障碍学组委员

中国医师协会呼吸医师分会睡眠呼吸障碍工作委员会委员

中国首届研究型医院学会罕见病分会理事

中国罕见病联盟呼吸病学第一届常务委员

主持国家自然科学基金2项,省级课题4项

近3年以通讯作者发表SCI论文20余篇

获省级成果奖3项

获院医疗新技术奖2项


陈志锋.png
陈志锋
第一作者

博士研究生

中南大学湘雅二医院

国家留学基金委奖学金1次

国家奖学金1次

在博士期间以第一作者身份共发表SCI论文8篇,发表中文核心论著1篇,以共同通讯作者发表SCI 1篇

2024.2-至今在美国约翰霍普金斯大学进行博士联合培养


每一项临床研究都倾注着研究团队的心血结晶。学习过后,您是否有所收获?或有疑问想与主创团队分享?请在评论区留言,期待与您交流!


END
200 评论

查看更多