壹生大学

壹生身份认证协议书

本项目是由壹生提供的专业性学术分享,仅面向医疗卫生专业人士。我们将收集您是否是医疗卫生专业人士的信息,仅用于资格认证,不会用于其他用途。壹生作为平台及平台数据的运营者和负责方,负责平台和本专区及用户相关信息搜集和使用的合规和保护。
本协议书仅为了向您说明个人相关信息处理目的,向您单独征求的同意,您已签署的壹生平台《壹生用户服务协议》和《壹生隐私政策》,详见链接:
壹生用户服务协议:
https://apps.medtrib.cn/html/serviceAgreement.html
壹生隐私政策:
https://apps.medtrib.cn/html/p.html
如果您是医疗卫生专业人士,且点击了“同意”,表明您作为壹生的注册用户已授权壹生平台收集您是否是医疗卫生专业人士的信息,可以使用本项服务。
如果您不是医疗卫生专业人士或不同意本说明,请勿点击“同意”,因为本项服务仅面向医疗卫生人士,以及专业性、合规性要求等因素,您将无法使用本项服务。

同意

拒绝

同意

拒绝

知情同意书

同意

不同意并跳过

工作人员正在审核中,
请您耐心等待
审核未通过
重新提交
完善信息
{{ item.question }}
确定
收集问题
{{ item.question }}
确定
您已通过HCP身份认证和信息审核
(
5
s)

大剂量利福霉素治疗结核病的疗效和安全性比较:贝叶斯网络荟萃分析

2025-11-23作者:论坛报小璐资讯
非原创

结核病是全球范围内的一大医疗难题,也是由传染性病原体导致的首要致死原因之一。越来越多的证据表明,目前推荐的利福霉素的剂量可能并不理想。自1971年世界卫生组织推荐10毫克/千克的利福平标准剂量以来,该方案沿用至今已超过五十年。然而,多项研究显示,该剂量水平处于药物暴露-反应曲线的低端,可能导致血药浓度不足,进而增加治疗失败与耐药风险。利福喷丁作为一种利福平的环戊基衍生物,在早期临床研究中显示出良好的药代动力学和安全性特征。随着剂量提升,其疗效也相应增强。已有报道表明,高剂量利福喷丁能够在治疗8周内实现更高的痰培养转阴率,同时保持较好的安全表现。

目前,关于如何确定利福霉素的最佳剂量,在实现最强杀菌活性与保障安全性之间取得平衡,仍是学界争论的焦点。尽管已有研究探索了多种高剂量方案,但随机对照试验中不同治疗方案之间的直接对比证据仍然匮乏,使得各种方案的相对疗效与安全性尚不明确。


研究方法       

本研究系统检索PubMed、Web of Science、Cochrane Library和Embase 4个数据库。采用贝叶斯网状Meta分析 (NMA) 比较高剂量利福霉素方案(包括利福平 15-30 毫克/千克,利福喷丁 7.5-20 毫克/千克)和标准治疗方案在治疗敏感肺结核病的有效性和安全性。

图片

纳入标准:(a) 提供干预性研究的原始数据;(b) 研究对象为药物敏感性肺结核患者,比较标准剂量利福平与高剂量利福霉素方案的疗效或安全性;(c) 报告以下至少一项结果:痰培养转阴、治疗成功(即治愈、完成治疗)、复发、严重不良事件发生率、3级或以上不良事件,或3级及以上药物不良反应;(d) 以完整论文形式发表。

本研究采用Cochrane偏倚风险评估工具对纳入文献进行质量评价。在R语言环境中运用GEMTC程序包进行贝叶斯网状Meta分析,通过Gelman-Rubin诊断图及密度图检验模型收敛性,采用I²统计量评估研究间异质性,并借助节点分裂分析法检验直接证据与间接证据间的一致性。证据确定性评估通过CINeMA在线平台完成,偏倚风险采用Cochrane ROB 2.0工具进行评定。治疗方案的综合排序依据累积排名曲线下面积(SUCRA)值,该数值越高表明该方案成为最佳治疗选择的可能性越大。



研究结果        

纳入文献及特征:

通过对不同数据库的全面系统检索,在标题和摘要筛选阶段共识别出 15766 项研究。经过初步筛选,最终有 534 篇文章被纳入全文评估,其中 15 篇符合纳入标准,被纳入本研究,所有研究均为随机对照试验,其中14项(93.3%)为低偏倚风险。在所有纳入的试验中,总计6456名患者,加权平均年龄和BMI分别为 32 岁和 18.8 kg/m2。

疗效分析:

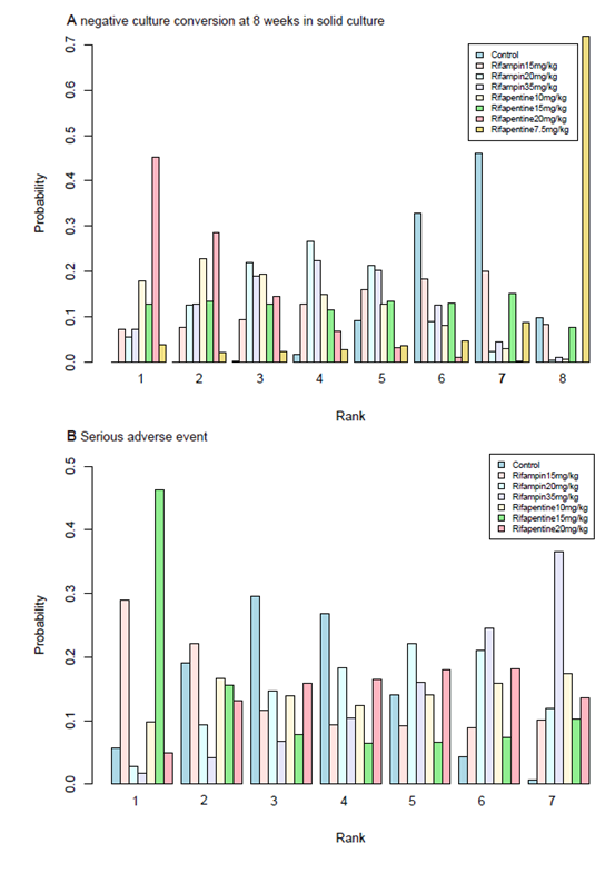
利福喷丁20mg/kg方案在8周固体培养转阴率方面显著优于标准剂量利福平(RR=1.09, 95%CrI 1.03-1.17),在8周液体培养结果中也观察到了类似的趋势(RR=1.2, 95% CrI 1.0–1.6)。任何两个高剂量方案在8周固体培养转阴率和复发风险方面均无显著差异。SUCRA 评分也提示利福喷丁20mg/kg最有可能是 8 周固体培养杀菌活性最强的方案。

图片

安全性:

所有方案严重不良事件的发生率之间没有显著差异。利福喷丁15mg/kg方案在严重不良事件发生率方面表现出最佳安全性特征,SUCRA评分排序位居首位。在具体安全性指标方面:所有高剂量利福霉素方案在严重不良事件、≥3级不良事件、≥3级药物不良反应等主要安全性指标方面,与标准剂量利福平相比均无统计学显著差异。

图片



结论



利福喷丁20mg/kg可能是实现最强抗结核活性的最有效方案。所有高剂量利福霉素方案均显示出良好的总体安全性。


通讯作者点评

图片

李杨  

复旦大学附属华山医院感染科主治医师,国家传染病医学中心青年研究员

这项贝叶斯网状Meta分析具有重要的临床指导意义。它通过整合现有最高级别的循证医学证据,系统地评估了各类高剂量利福霉素方案的有效性与安全性,为临床治疗决策提供了宝贵的参考。

首先,本研究为临床优化利福喷丁的应用提供了关键证据,并提示了当前临床实践中可能存在的不足。 研究结果明确显示,为了实现最佳的早期杀菌活性和治疗成功率,提升利福喷丁的剂量可能是一个核心方向。目前国内临床上普遍采用的利福喷丁给药方式(biw或者tiw)很可能处于药物暴露的“亚治疗”水平,未能充分发挥其最强的杀菌潜力。 这项研究的结果,正是呼吁我们重新审视和优化利福喷丁用药方案的重要契机。

然而,另一方面,我们必须审慎地看待这些结论在中国人群中的直接适用性。 该分析所纳入的随机对照试验中,来自中国患者的数据仍然相对有限。种族、遗传背景、体重指数(BMI)以及合并用药习惯等因素都可能影响药物的药代动力学和安全性。因此,将这些基于国际多中心研究得出的“最优剂量”直接平移至中国临床,仍需保持谨慎,我们亟需来自中国人群的高质量研究数据来验证和校准。

在此背景下,由国家传染病医学中心牵头开展的ORIENT研究,其价值显得尤为突出。 作为国际首个针对利福喷丁优化剂量的敏感结核病缩短疗程随机对照研究,ORIENT研究正是为了回答“适合中国患者的利福喷丁最佳剂量与疗程”这一关键问题而设计的。我们期待该研究能够产出坚实的中国证据,为修订符合我国国情的结核病治疗指南提供核心依据,最终使中国广大的结核病患者受益。我们也诚挚地欢迎全国各兄弟结核病医院能够加入ORIENT等前沿临床研究,汇聚力量,共同推动中国结核病防治事业的进步,为全球终结结核病流行贡献中国智慧。

通讯作者

图片

李杨

复旦大学附属华山医院感染科主治医师,国家传染病医学中心青年研究员,ORIENT项目主要研究者。目前于伦敦卫生与热带医学院(全球公共卫生领域排名第二)从事博士后工作。主要研究领域为结核病等呼吸道传染性疾病诊治,致力于改善中国结核病患者的卫生服务现状。她于复旦大学上海医学院获得医学博士学位。目前正担任全球结核病协作组成员、国际抗结核药物安全性监测和管理工作组成员、世界卫生组织1+1倡议成员、中华医学会临床流行病学和循证医学分会指南学组委员等。以第一/共同第一作者或通讯作者共发表SCI论文20余篇,于2019年欧洲肝病学会全球肝病会议、2023年全球肺部健康大会、2024年美国胸科协会年会等国际会议进行口头汇报。主持国家自然科学基金青年基金1项,入选上海市“医苑新星”青年医学人才计划、上海市公共卫生优秀青年人才计划等。



第一作者

图片

冯珍

复旦大学附属华山医院感染科博士研究生在读,作为ORIENT研究核心成员,主要负责抗结核药物的药代动力学-药效学(PK-PD)研究,为治疗方案的剂量优化提供关键依据。同时参与中国利福平耐药结核病患者路径分析、荧光PCR熔解曲线快速分子技术检测痰中结核分枝杆菌耐药性的可行性和准确性、耐药结核病治疗新方案和新技术的研究及评估、中国耐多药结核全口服短程方案研究等多项研究,致力于结核病治疗策略优化与防治推广。




来源:Oriental lD Week



200 评论

查看更多