查看更多
密码过期或已经不安全,请修改密码
修改密码
壹生身份认证协议书
同意
拒绝
同意
拒绝
同意
不同意并跳过
作者:北京大学人民医院 刘健 霍黎明 郭萌
部分来自社区的急性ST段抬高型心肌梗死(STEMI)患者在首次医疗接触120分钟内无法予以直接PCI,导致心肌梗死死亡率增加。STREAM-1研究显示,在首次医疗接触后1小时内的STEMI患者,溶栓联合PCI可有效恢复心肌再灌注。无论是采用溶栓联合PCI还是直接PCI策略,患者30天内死亡、卒中、心力衰竭或再梗死的主要复合终点发生率相似,随访1年时死亡率也相似。但是,全剂量替奈普酶在≥75岁的患者中引起的颅内出血(ICH)事件过多;ASSENT研究同样发现全剂量替奈普酶或阿替普酶引起的出血事件从60岁开始急剧增加。本研究旨在探究半剂量替奈普酶溶栓联合PCI策略与直接PCI策略相比在老年STEMI患者中的有效性及安全性。
本研究是一项前瞻性、随机、平行、对照、国际多中心临床试验,计划纳入400例接受药物溶栓联合PCI治疗的患者和200例接受直接PCI治疗的患者进行分析,旨在评估采用半剂量替奈普酶的溶栓联合PCI策略相比于直接PCI对老年患者的潜在益处。
其中溶栓联合PCI组在随机分组后予以半剂量替奈普酶溶栓,溶栓后根据心电图ST段回落情况予以补救性PCI或择期PCI,直接PCI组根据指南推荐意见予以介入干预。研究者通过基线时ST段抬高最明显导联在PCI前后降低≥50%的患者数目,补救性PCI比例、TIMI血流等级等来评估早期再灌注的有效性。临床终点定义为死亡、充血性心力衰竭、休克、再梗死的复合终点。主要安全性终点包含总卒中及主要非颅内出血(全身出血、严重出血、轻度出血以及输血史)。
图1 STREAM-2研究流程图
本研究两组间基线资料无明显差异(表1)。相比于溶栓联合PCI组,直接PCI组在症状起病后有80分钟的时间差(图2)。与直接PCI组相比,溶栓联合PCI组在起病距造影/PCI后心电图时间更长(524 vs 263,P<0.001)(表2),PCI术前TIMI血流分级差异有显著性(53.8 vs 18.9,P<0.001)(表3),术后无显著差异(87.3 vs 87.0,P=0.73),30天随访有效性终点相似(表4)。但是,在针对复合终点的亚组分析中,根据距离研究随机化时间分组的亚组中,<1小时组溶栓联合PCI组更优(P=0.004)(表5)。在安全性终点方面,ICH在溶栓联合PCI组发生风险更高(1.55 vs 0.0,RR=6.61)(表6),是部分研究对象违背研究方案应用抗凝药物所致。
表1 研究人群基线资料
图2 从起病到医疗干预,溶栓联合PCI组与直接PCI组两组间有80分钟时间差
表2 溶栓联合PCI组在起病到术后复查心电图时间更长
表3 溶栓联合PCI组与直接PCI组PCI术前TIMI血流分级的差异有显著性,术后TIMI血流分级则无显著差异
表4 随访30天,两组间临床事件发生情况相似
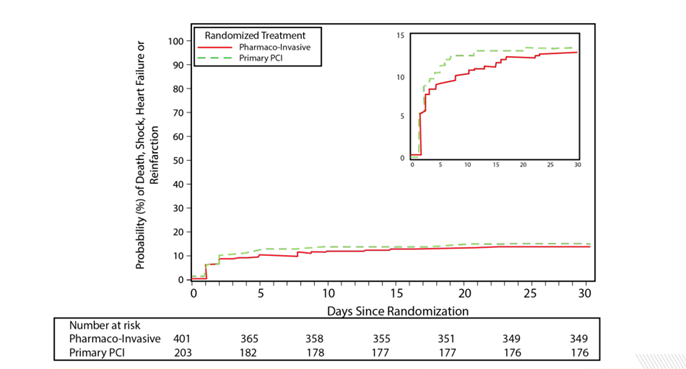
图3 随访30天,生存分析曲线相似
表5 距离研究随机化时间<1小时组,溶栓联合PCI组更优,余无差异
表6 溶栓联合PCI组ICH发病风险更高
表7 STREAM-2研究比STREAM-1研究样本年龄更高,但是出血事件发生率更低;组内相比无明显差异
对于无法及时接受PCI干预的老年STEMI患者,在严格除外溶栓禁忌及避免过度抗凝情况下,半剂量替奈普酶组成的溶栓联合PCI策略是安全有效的。
临床上存在就诊延迟、转运不及时及血管通路不畅等问题,部分患者无法在指南推荐时间内完成直接PCI干预罪犯血管,导致患者心衰、心原性休克及死亡风险增加。本研究得出半剂量替奈普酶联合PCI同样可以达到很好的血管再通率,证明了该策略不仅有效,而且在大于60岁的老年患者群同样是安全的,有助于提高部分未能及时接受直接PCI的患者生存率,为急诊急救及心内科介入医师提供了新的诊疗思路。
中国医学论坛报版权所有,转载须授权

刘健教授
极高强度运动,促进冠脉斑块进展!Circulation中老年男性运动员研究
查看更多